19 年
手机商铺

抗体/ELISA 试剂盒/试剂
已认证
生物化学/抗体
已认证
技术服务
已认证
实验室仪器 / 设备/试剂/耗材/细胞库 / 细胞培养
已认证
抗体/试剂
已认证
实验室仪器 / 设备/试剂/耗材
已认证
试剂/实验室仪器 / 设备/耗材
已认证
细胞库 / 细胞培养/技术服务/动物模型
已认证
实验室仪器 / 设备/试剂
已认证
抗体
已认证
抗体/试剂
已认证
抗体/试剂
已认证
试剂
已认证
试剂
已认证
抗体
已认证
抗体
已认证
试剂
已认证
试剂
已认证
抗体/试剂
已认证
试剂
已认证
试剂/技术服务
已认证
蛋白质/抗原/多肽/试剂
已认证
试剂
已认证
抗体/试剂
已认证
抗体
已认证
抗体/试剂
已认证
实验室仪器 / 设备/试剂
已认证
试剂
已认证
抗体/ELISA 试剂盒/试剂
已认证
生物化学/抗体
已认证
技术服务
已认证
实验室仪器 / 设备/试剂/耗材/细胞库 / 细胞培养
已认证公司新闻/正文
407 人阅读发布时间:2021-12-17 09:14
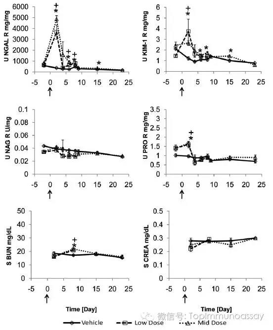
| 多肽类抗生素,如多粘菌素和氨基糖苷类抗生素,是致命革兰氏阴性菌感染的治疗必备药物。大量使用这些药物治疗后,产生急性肾损伤(AKI),从而又限制临床应用。因为标准的生物标志物(血清肌酐和血尿素氮)灵敏度有限,开发新的AKI生物标志物迫在眉睫。
辉瑞比较了传统的生物标志物与新AKI生物标志物(来自美国Meso Scale Discovery),评价多粘菌素B在多物种(大鼠、狗和猴)引起的肾毒性。此外,我们选择生物标志物筛选保肾多粘菌素类似物。多粘菌素B产生剂量依赖性肾损伤,在所有物种中观察到近端肾小管变性、坏死和再生。狗和猴子有类似的生物标志物分布,传统指标(sCRE和BUN)和新AKI指标(尿中性粒细胞明胶酶蛋白[NGAL]和尿肾损伤分子1 [KIM-1])AKI生物标志物。相比之下,只有尿液NGAL和尿液KIM-1足够能够检测大鼠肾损伤。因为大鼠是一种适合药物筛选的模式动物,我们利用尿液NGAL作为一个敏感的AKI生物标志物的筛选和排序化合物,开展在2天的毒性研究即可。
据我们所知,这项研究是全球第一例成功应用AKI生物标志物在药物筛选。
|
试剂 | 耗材 | 仪器 | 软件 | 定制 | 实验服务 | 供应链
免费热线:4008-168-068
咨询邮箱:info@univ-bio.com
订购商城:www.univ-bio.com
微信公众平台:优宁维抗体专家,欢迎关注!
小优博士(小程序):5大课堂, 让你的科研不再难!
在线沟通
我的询价











