19 年
手机商铺

抗体/ELISA 试剂盒/试剂
已认证
生物化学/抗体
已认证
技术服务
已认证
实验室仪器 / 设备/试剂/耗材/细胞库 / 细胞培养
已认证
抗体/试剂
已认证
实验室仪器 / 设备/试剂/耗材
已认证
试剂/实验室仪器 / 设备/耗材
已认证
细胞库 / 细胞培养/技术服务/动物模型
已认证
实验室仪器 / 设备/试剂
已认证
抗体
已认证
抗体/试剂
已认证
抗体/试剂
已认证
试剂
已认证
试剂
已认证
抗体
已认证
抗体
已认证
试剂
已认证
试剂
已认证
抗体/试剂
已认证
试剂
已认证
试剂/技术服务
已认证
蛋白质/抗原/多肽/试剂
已认证
试剂
已认证
抗体/试剂
已认证
抗体
已认证
抗体/试剂
已认证
实验室仪器 / 设备/试剂
已认证
试剂
已认证
抗体/ELISA 试剂盒/试剂
已认证
生物化学/抗体
已认证
技术服务
已认证
实验室仪器 / 设备/试剂/耗材/细胞库 / 细胞培养
已认证公司新闻/正文
280 人阅读发布时间:2025-04-13 12:02
小鼠巨噬细胞RAW264.7诱导M1、M2极化试剂盒

数据分享
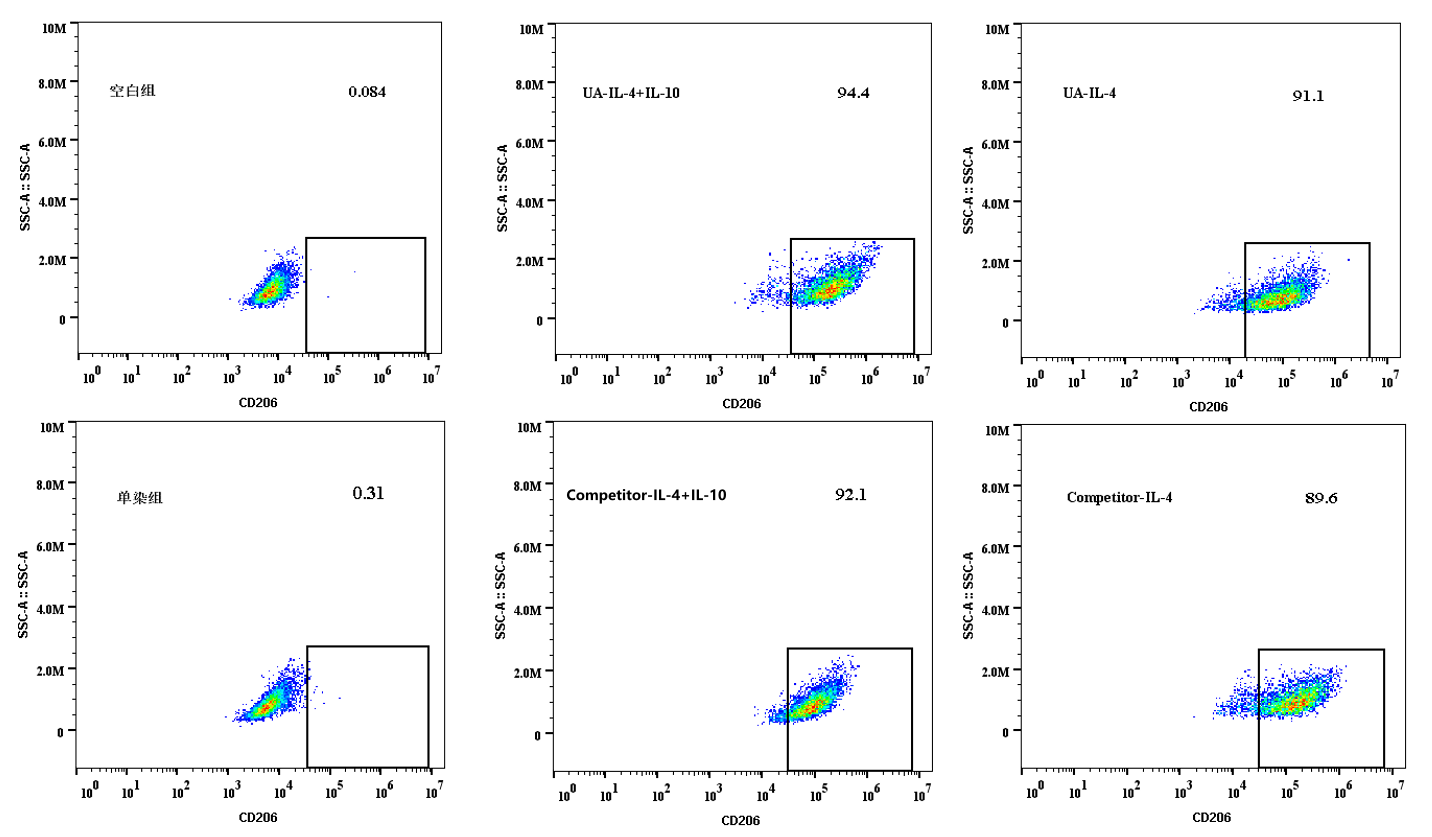
M1极化结果:

M2极化结果:

点击下方的产品货号,直达官网详情页供您了解
|
货号
|
产品名称
|
种属
|
表达系统
|
分子标记
|
规格
|
价格
|
|---|
|
UA090037
|
Mouse RAW264.7 Cell Polarization Induction Kit I
|
Mouse
|
|
|
|
¥6,800
|
|
UA090038
|
Mouse RAW264.7 Cell Polarization Induction Kit II
|
Mouse
|
|
|
|
¥3,580
|
在线沟通
我的询价





