19 年
手机商铺
技术资料/正文
139 人阅读发布时间:2025-02-10 17:17
蛋白质磷酸化是一种核心的翻译后修饰手段,它深刻影响着细胞信号传导、神经调节、肌肉功能,以及细胞的增殖、生长和分化等广泛的生理与病理过程。激酶和磷酸酶分别催化磷酸化及去磷酸化反应,这些过程在细胞周期的精细调控中占据核心地位。磷酸化与去磷酸化的循环,宛如分子层面的开关系统,精准调控蛋白质的功能活性,驱动着生命体的各类复杂进程。
为高效获取与自身研究紧密相关的磷酸化知识,研究者们可借助IPA这一强大工具,省去大量翻阅文献与数据库的时间与精力。IPA内置了详尽的信息整合与分析机制,能够将实验中检测到的磷酸化水平变化的蛋白质,自动转化为蕴含生物学因果关系的网络图谱,从而辅助研究者构建假说,为后续的实验设计与验证工作提供坚实的理论基础。
文献案例:
磷酸蛋白质组学和生物信息学分析揭示了GSK-3和AKAP4在小鼠精子获能中的关键作用(2020)

在精子获能机制的探索中,蛋白质磷酸化被揭示为调控精子运动模式转变的关键信号转导机制。然而,关于小鼠精子在获能过程中蛋白质磷酸化变化的详尽图景尚待完善。为了填补这一知识空白,研究人员创新性地整合了无标记定量(LFQ)磷酸蛋白质组学技术与生物信息学分析,特别是利用IPA平台(涵盖经典通路、疾病与功能、上游调控因子及网络分析等模块),深入剖析了小鼠精子获能相关的磷酸化事件。
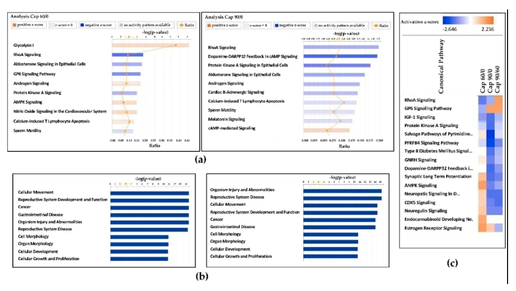
研究在丝氨酸、苏氨酸及酪氨酸残基上共鉴定出1632个磷酸肽,其中1050个为新发现的磷酸化位点,关联至402种蛋白质,这一发现显著扩展了我们对精子磷酸化修饰的认识。
IPA生成的基因热图特别指出,GSK-3在GP6信号通路中扮演了新颖且重要的角色,尤其是在精子获能60分钟的时间点上,这一发现通过直观的图形化展示得到了强调。

进一步地,结合Western blot与LFQ方法的验证,不仅确认了GSK-3α在获能过程中其磷酸化水平较低,从而表现为抑制性减弱,还强化了IPA预测中关于GSK-3α活性增强的结论。此外,尽管pAKAP在整体水平上呈现上调趋势,但在精子容量受限的条件下,pAKAP4的Y156位点磷酸化增加,而Y811位点则减少,这一精细调控模式揭示了磷酸化位点的特异性影响。

关于IPA在磷酸化分析中的具体步骤,可以概括为以下几个关键阶段:
1、数据上传与初始化:将磷酸化数据导入IPA,包括磷酸化变化的定量信息,以激活IPA的因果关系预测引擎。
2、全局概览:通过Graphical Summary快速浏览分析的核心发现,涵盖经典通路、上游调控因子、疾病与功能等多个维度。
3、通路与代谢分析:IPA识别并预测显著富集的信号通路或代谢途径,评估其在数据集中的激活或抑制状态。
4、上游调控因子挖掘:识别并排序可能驱动蛋白质磷酸化变化的上游分子,包括其激活或抑制状态。
5、疾病与功能预测:基于磷酸化变化,预测对下游疾病状态或生物学功能的影响。
6、调控效应综合:通过Regulator Effects模块,深入理解上游调控因子如何影响下游疾病与功能。
7、交互网络构建:利用Interaction Networks可视化蛋白质间的相互作用网络,揭示其协同作用机制。
8、对比分析:通过Analysis Match功能,将当前分析结果与IPA数据库中超过10万个其他分析进行比对,寻找共性与差异。
9、深入探索:利用Overlay功能,在通路或网络图中直观展示特定磷酸化位点对实验结果的贡献,促进深入研究和理解。
综上所述,IPA平台以其强大的逻辑性和灵活性,在蛋白质磷酸化分析中展现了卓越的性能,为研究者提供了从全局到细节、从预测到验证的全面解决方案。
| 名称 | 货号 | 规格 |
| Perm Buffer III | 558050 | 125ml |
| Lyse/Fix Buffer 5X | 558049 | 250ml |
| Fix Buffer I | 557870 | 250ml |