19 年
手机商铺
技术资料/正文
232 人阅读发布时间:2025-02-17 14:19
自Gerdes等人在1983年首次发现人Ki-67抗原以来,这一分子便迅速成为临床肿瘤学中评估预后和预测疗效的关键参数。Ki-67作为核仁rRNA合成的核心因子,其表达强度与细胞进入S期(即DNA合成期)的紧密关联,使得它成为衡量细胞增殖活性的重要指标。
尽管Ki-67在组织病理诊断中得到了广泛应用,但在血液系统恶性肿瘤的流式细胞术分析中,其应用却相对有限。这主要归因于骨髓细胞群体的高度异质性,以及过去技术手段的限制。使用传统的单色或双色流式细胞术,仅能检测到总骨髓细胞群的Ki-67表达情况,而无法对不同细胞谱系进行精确区分。此外,血液肿瘤的免疫分型研究中往往忽视了Ki-67的重要性,这也限制了其在该领域的应用。

为了克服这些挑战,Kelly P.H. Nies等人采用了先进的多色流式细胞术技术,对骨髓中不同细胞群体的Ki-67表达水平进行了深入细致的分析。他们的研究方案涵盖了粒系、单核系分化各阶段、干祖细胞、B系前体以及红系分化各阶段的Ki-67表达情况,旨在更全面地揭示Ki-67在血液系统恶性肿瘤中的表达特征及其潜在的临床意义。
| Tubes | Antigen | Clone | Fluorochrome | Ab Volume (μℓ) |
|---|---|---|---|---|
| 1 | Non-relevant IgG | VI-AP | FITC | 5 |
| CD13 | Immu103.44 | PE-Cy 5.5 | 5 | |
| CD34 | 581 | Pe-Cy7 | 5 | |
| HLA-Dr | Immu-357 | PB | 5 | |
| CD45 | J.33 | KO | 2 | |
| 2 | Ki-67 | MIB-1 | FITC | 5 |
| CD14 | RMO52 | r-PE | 5 | |
| CD64 | 22 | ECD | 2 | |
| CD13 | Immu103.44 | PE-Cy 5.5 | 5 | |
| CD34 | 581 | Pe-Cy7 | 5 | |
| CD16 | 3G8 | APC | 1 | |
| CD10 | ALB1 | APC-A700 | 3 | |
| CD11b | Bear1 | APC-A750 | 1 | |
| HLA-Dr | Immu-357 | PB | 5 | |
| CD45 | J.33 | KO | 2 | |
| 3 | Ki-67 | MIB-1 | FITC | 5 |
| CD105 | 1G2 | r-PE | 10 | |
| CD123 | SSDCLy107D2 | ECD | 5 | |
| CD13 | Immu103.44 | PE-Cy 5.5 | 5 | |
| CD117 | 104D2D1 | Pe-Cy7 | 5 | |
| CD71 | YDJ1.2.2 | APC-A700 | 1 | |
| CD235a | 11EUB-7-6 | APC-A750 | 5 | |
| HLA-Dr | Immu-357 | PB | 5 | |
| CD45 | J.33 | KO | 2 | |
| 4 | Ki-67 | MIB-1 | FITC | 5 |
| CD13 | Immu103.44 | PE-Cy 5.5 | 5 | |
| CD117 | 104D2D1 | Pe-Cy7 | 5 | |
| CD36 | CB38 | APC | 5 | |
| HLA-Dr | Immu-357 | PB | 5 | |
| CD45 | J.33 | KO | 2 |
设门方法与检测结果示例:粒系与单核系分化及Ki-67表达分析,红系分化及其Ki-67表达,D图是浆细胞Ki-67表达:

CD34+干祖细胞与B系前体细胞Ki-67表达检测结果描述:

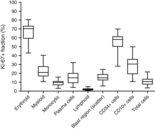
50例样本Ki-67表达统计结果的Box图描述

| 名称 | 货号 | 规格 |
| Ki-67 (8D5) Mouse mAb | 9449T | 20ul |
| PE-Cy7 Mouse anti-Ki-67(B56) | 561283 | 50Tst |
| Purified Mouse Anti-Ki-67(B56) | 550609 | 1mL |
| Ki67 (Ki-67) | sc-23900 | 200ug/ml |