19 年
手机商铺
技术资料/正文
129 人阅读发布时间:2025-03-06 13:47
癌症的早期检测是癌症患者提高长期生存率和降低死亡率的最有希望的方法之一。然而,当前癌症筛查生物标志物主要用于检测特定癌症类型(单一器官筛查),难以实现不同种癌症的早期诊断。因此,开发通用或多器官癌症(泛癌)的筛查工具显得尤为重要。近期,来自中山大学肿瘤防治中心的研究团队在《Nature Communication》期刊上发表了一篇题为“Establishment and validation of a plasma oncofetal chondroitin sulfated proteoglycan for pan-cancer detection”的研究论文。该研究针对癌胚硫酸软骨素(ofCS)修饰的蛋白多糖(PGs),建立了一种可用于泛癌检测的筛查方法。本文将详细解析这篇研究论文,探讨其研究背景、方法、结果及意义。

恶性肿瘤的早期诊断是降低死亡率的有效策略。然而,目前的泛癌种诊断研究主要基于多靶标联合检测样本中的突变、甲基化位点及蛋白类标志物,受制于较高的检测技术要求、相对较低的灵敏度与高昂的检测成本,其临床应用仍然面临着巨大的挑战。理想的恶性肿瘤检测方法应具备以下条件:高灵敏度与高特异度,尽可能降低漏诊与误诊率;检测费用适当,过高的检测费用将难以普及推广;无创且便捷,将加大人群的依从性。
恶性肿瘤细胞中普遍存在着特殊结构的硫酸软骨素A(CSA)修饰,称为肿瘤型硫酸软骨素(oncofetal chondroitin sulfate, ofCS),其修饰的蛋白称为肿瘤型硫酸软骨素蛋白聚糖(ofCSPG)。因其与胎盘滋养层细胞表面的硫酸软骨素A结构存在相似性,肿瘤型硫酸软骨素可被恶性疟原虫感染红细胞特异表达的VAR2CSA蛋白高亲和力结合。基于重组VAR2CSA的肿瘤型硫酸软骨素检测技术应用于恶性肿瘤筛查诊断的潜力巨大。

本研究基于重组恶性疟原虫VAR2CSA蛋白与肿瘤型硫酸软骨素高亲和力结合的特性,构建微量血浆检测恶性肿瘤的ELISA方法。研究团队进行了长期的系统研究,通过构建7个包含不同序列和结构域的体外重组疟原虫VAR2CSA蛋白(rVAR2),充分解析rVAR2与肿瘤型硫酸软骨素在分子、细胞、组织水平上的互作规律。创新性地构建了以抗ofCSPG/rVAR2为捕获分子,HRP修饰的rVAR2为检测分子的夹心法ELISA检测体系,实现微量血浆即可高效检测游离肿瘤型硫酸软骨素及其蛋白聚糖。

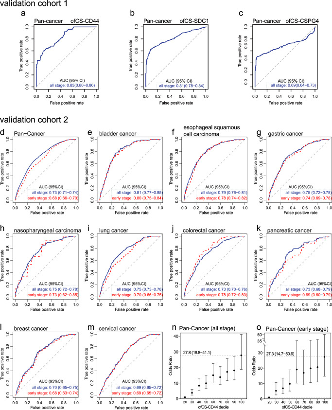
该研究首先对302例健康人和165例6种不同癌症患者进行分析,这些癌症包括肺癌、肝癌、乳腺癌、结直肠癌、胃癌和胰腺癌。研究结果显示,癌症患者血浆中的ofCS和ofCSPGs显著高于正常人(P值为1.2×10-10)。随后,在验证队列中共纳入了11854例健康人和2681例癌症患者,其中涵盖了11种恶性肿瘤,包括上述6种癌症以及食管癌、卵巢癌、前列腺癌、膀胱癌和脑癌。

研究发现,ofCS-CD44可有效区分其中9种癌症,且血浆中ofCS-CD44最高十分位数的个体相比最低的20%,有超过27倍的癌症风险(OR=27.8,95%CI=18.8–41.4,P=2.72×10^-62)。此外,在泛癌的早期阶段可以检测到血浆CS-CD44的升高,具有很强的剂量依赖性优势风险预测。这表明,ofCS-CD44不仅可以作为区分健康人和癌症患者的有效生物标志物,还能在多种癌症的早期筛查及预后中发挥重要作用。
泛癌检测的新方法:该研究建立了一种针对ofCSPs的泛癌检测方法,该方法能够有效鉴别健康人和癌症患者,无需特异的癌症生物标志物进行逐个筛查。这种泛癌检测方法为癌症的早期快速筛查提供了一种新的技术手段,有望突破肿瘤早筛早诊的瓶颈,造福肿瘤患者。
高灵敏度与高特异度:该研究通过ELISA检测体系,实现了对血浆中ofCS及其修饰的蛋白的高效检测。结果显示,该方法具有较高的灵敏度和特异度,能够显著降低漏诊和误诊率。这对于提高癌症诊断的准确性具有重要意义。
无创且便捷:与传统的癌症检测方法相比,该研究建立的ELISA检测体系具有无创且便捷的优点。通过微量血浆即可进行检测,不仅减轻了患者的痛苦,还提高了检测的便捷性。这对于提高人群的依从性,推动癌症筛查的普及具有重要意义。
早期筛查与预后评估:研究结果显示,ofCS-CD44在泛癌的早期阶段即可检测到升高,具有很强的剂量依赖性优势风险预测。这表明,该方法不仅可以用于癌症的早期筛查,还可以用于预后评估,为患者的治疗提供有价值的参考信息。
推动肿瘤个体化治疗:该研究建立的泛癌检测方法为肿瘤个体化治疗提供了可能。通过检测血浆中ofCS及其修饰的蛋白,可以了解患者体内肿瘤的生长情况和转移趋势,从而制定个性化的治疗方案,提高治疗效果。
研究方法的创新:该研究创新性地构建了基于VAR2CSA的泛癌种液体活检技术,通过微量血浆ELISA检测技术实现了癌症风险的高效检测。这种方法的创新之处在于其无创、操作简便和低成本的优点,使得癌症筛查变得更加便捷和经济。
生物标志物的选择:ofCS作为一种肿瘤型硫酸软骨素,在恶性肿瘤细胞中普遍存在。该研究选择ofCS及其修饰的蛋白作为生物标志物,具有较高的特异性和敏感性。此外,ofCS与胎盘滋养层细胞表面的硫酸软骨素A结构存在相似性,这使得基于VAR2CSA的检测方法成为可能。
临床应用的挑战:尽管该研究取得了显著的成果,但在临床应用方面仍面临一些挑战。例如,需要进一步扩大样本量,验证该方法的普遍性和可靠性;同时,还需要探索该方法与其他检测技术的结合应用,以提高诊断的准确性和灵敏度。
未来研究方向:未来的研究可以进一步探索ofCS及其修饰的蛋白在肿瘤发生、发展和转移中的作用机制,以及与其他生物标志物的关联。此外,还可以研究基于VAR2CSA的检测方法在其他类型肿瘤中的应用,以拓宽其适用范围。
本研究建立了一种针对ofCSPs的泛癌检测方法,该方法能够有效鉴别健康人和癌症患者,无需特异的癌症生物标志物进行逐个筛查。通过微量血浆ELISA检测技术,实现了对血浆中ofCS及其修饰的蛋白的高效检测。研究结果显示,该方法具有较高的灵敏度和特异度,能够显著降低漏诊和误诊率。此外,该方法还具有无创且便捷的优点,使得癌症筛查变得更加便捷和经济。该研究为癌症的早期快速筛查提供了一种新的技术手段,有望突破肿瘤早筛早诊的瓶颈,造福肿瘤患者。未来的研究可以进一步探索该方法的临床应用和适用范围,以及与其他检测技术的结合应用,以提高诊断的准确性和灵敏度。
| 名称 | 货号 | 规格 |
| Anti-mouse IgG (H+L), F(ab‘) 2 Fragment (Alexa Fluor ® 555 Conjugate) | 4409S | 250ul |
| Anti-rabbit IgG (H+L), F(ab‘) 2 Fragment (Alexa Fluor ® 555 Conjugate) | 4413S | 250ul |