19 年
手机商铺
技术资料/正文
286 人阅读发布时间:2025-05-08 14:39
胃癌(GC)作为全球范围内最常见的恶性肿瘤之一,其发病率和死亡率均居高不下。胃癌患者的预后通常较差,部分原因在于其遗传异质性及早期筛查的困难。传统治疗方式如手术、化疗和放疗虽然在一定程度上能够延长患者的生存期,但受限于肿瘤的复发和转移,整体疗效有限。因此,迫切需要寻找新的治疗策略和预后评估方法,以改善胃癌患者的临床结局。近期,研究团队在胃癌的预后评估和治疗靶点探索方面取得了重要进展,通过机器学习方法,建立了一个基于胃癌基因表达数据集的个体化预后模型,即胃癌基因集预后特征(GPSGC),并深入探讨了其相关的生存调控机制和治疗靶点。本文将对这一研究成果进行详细解析。

胃癌的发生和发展是一个复杂的过程,涉及多种遗传和环境因素的相互作用。随着基因测序技术的不断进步,越来越多的研究开始关注胃癌的分子特征,试图从基因层面揭示其发病机制和预后规律。然而,由于胃癌的遗传异质性,单一基因或通路的变化往往难以全面反映其生物学行为。因此,本研究团队提出了一种基于基因集的方法,旨在通过整合多个相关基因的表达信息,更准确地评估胃癌患者的预后,并筛选出潜在的治疗靶点。
数据收集与处理:研究团队从五个独立队列中收集了1699例胃癌患者的基因表达数据集,这些队列均包含了完整的临床注释信息。通过对这些数据进行预处理和质量控制,确保了数据的准确性和可靠性。
预后模型建立:利用机器学习算法,研究团队基于上述基因表达数据集建立了一个预后模型,即GPSGC。该模型通过综合考虑多个基因的表达水平,对胃癌患者的预后进行了更为准确的评估。
肿瘤微环境分析:为了深入探讨GPSGC与肿瘤微环境之间的关系,研究团队进一步分析了834例胃癌患者的肿瘤微环境特征,包括间质和免疫亚组分、细胞类型、泛免疫基因集和免疫调节基因等。这些分析有助于揭示GPSGC评分与肿瘤微环境重塑之间的潜在联系。
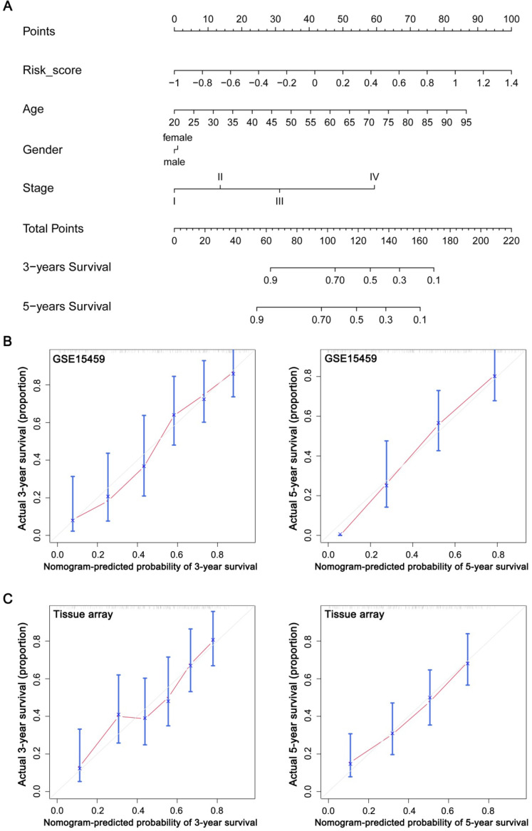
实验验证与靶点筛选:为了验证GPSGC模型的稳定性和可靠性,研究团队采用了组织微阵列和多重荧光免疫组化技术对186例胃癌患者的组织样本进行了实验验证。同时,结合多元Cox分析,构建了一个融合了GPSGC和其他临床风险因素的预后诺模图。此外,通过对免疫调节基因的分析和实验验证,筛选出了潜在的治疗靶点,如TGFβ1和VEGFB。

GPSGC模型的建立与验证:通过机器学习算法,研究团队成功建立了一个基于胃癌基因表达数据集的预后模型——GPSGC。该模型在预测胃癌患者生存期方面表现出较高的准确性,优于单个预后因素。此外,GPSGC评分与胃癌患者的不良生存结局呈显著相关,这可能与肿瘤微环境间质组分的重塑有关。
肿瘤微环境特征分析:通过对834例胃癌患者的肿瘤微环境进行分析,研究团队发现TGFβ和血管生成相关基因集与GPSGC风险评分和不良结局显著相关。这些发现进一步支持了GPSGC模型在评估胃癌患者预后方面的有效性,并揭示了肿瘤微环境在胃癌发生和发展中的重要作用。
实验验证与靶点筛选:组织微阵列和多重荧光免疫组化技术的实验验证结果表明,GPSGC模型具有较高的稳定性和可靠性。同时,结合多元Cox分析构建的预后诺模图在预测胃癌患者3年和5年总生存期方面表现出优于仅使用临床特征的准确性。此外,通过对免疫调节基因的分析和实验验证,研究团队筛选出了TGFβ1和VEGFB作为潜在的治疗靶点。这些靶点可能在胃癌的发生和发展中起关键作用,并有望成为未来个体化治疗的新策略。

本研究团队通过机器学习方法建立的GPSGC模型为胃癌患者的预后评估提供了一种新的有效方法。该模型不仅考虑了多个基因的表达水平,还结合了肿瘤微环境的特征,从而更全面地反映了胃癌的生物学行为。此外,通过筛选潜在的治疗靶点,如TGFβ1和VEGFB,为胃癌的个体化治疗提供了新的思路。
然而,本研究仍存在一定的局限性。首先,虽然GPSGC模型在预测胃癌患者预后方面表现出较高的准确性,但其在不同人群和地区的适用性仍需进一步验证。其次,虽然筛选出了潜在的治疗靶点,但尚未进行临床试验验证其疗效和安全性。因此,在未来的研究中,需要进一步扩大样本量、优化模型算法、开展临床试验等,以进一步提高GPSGC模型的准确性和实用性。

本研究团队通过机器学习方法建立的GPSGC模型为胃癌患者的预后评估提供了一种新的有效方法,并筛选出了潜在的治疗靶点。该模型的建立不仅有助于我们更深入地了解胃癌的生物学行为,还为胃癌的个体化治疗提供了新的思路。在未来的研究中,我们将进一步优化模型算法、扩大样本量、开展临床试验等,以进一步提高GPSGC模型的准确性和实用性。同时,我们也将继续探索新的治疗靶点和个体化治疗策略,以期为胃癌患者提供更好的治疗选择和预后评估方法。
随着基因测序技术的不断进步和生物信息学方法的不断发展,我们有理由相信,在未来的研究中,我们能够更加深入地揭示胃癌的分子机制和预后规律,为患者提供更加精准和有效的治疗策略。这不仅将有助于提高胃癌患者的生存率和生活质量,还将为其他恶性肿瘤的研究和治疗提供有益的借鉴和启示。
| 名称 | 货号 | 规格 |
| Rabbit anti-VEGFB Polyclonal Antibody | abs136375-50ug | 50ug |
| Rabbit anti-VEGFB Polyclonal Antibody | abs136375-100ug | 100ug |